利民股份(002734.SZ)净利润增长661%经营效率分析
#农药化工 #净利润增长 #经营效率 #股票分析 #投资风险 #财务分析 #利民股份
混合
A股市场
2026年1月13日
解锁更多功能
登录后即可使用AI智能分析、深度投研报告等高级功能

关于我们:Ginlix AI 是由真实数据驱动的 AI 投资助手,将先进的人工智能与专业金融数据库相结合,提供可验证的、基于事实的答案。请使用下方的聊天框提出任何金融问题。
相关个股
002734.SZ
--
002734.SZ
--
基于我收集到的数据和分析,现在为您呈报关于利民股份(002734.SZ)净利润增长661%但减员8%的深度分析报告。
利民股份(002734.SZ)经营效率可持续性分析报告
一、核心财务数据概览
净利润暴增661%:
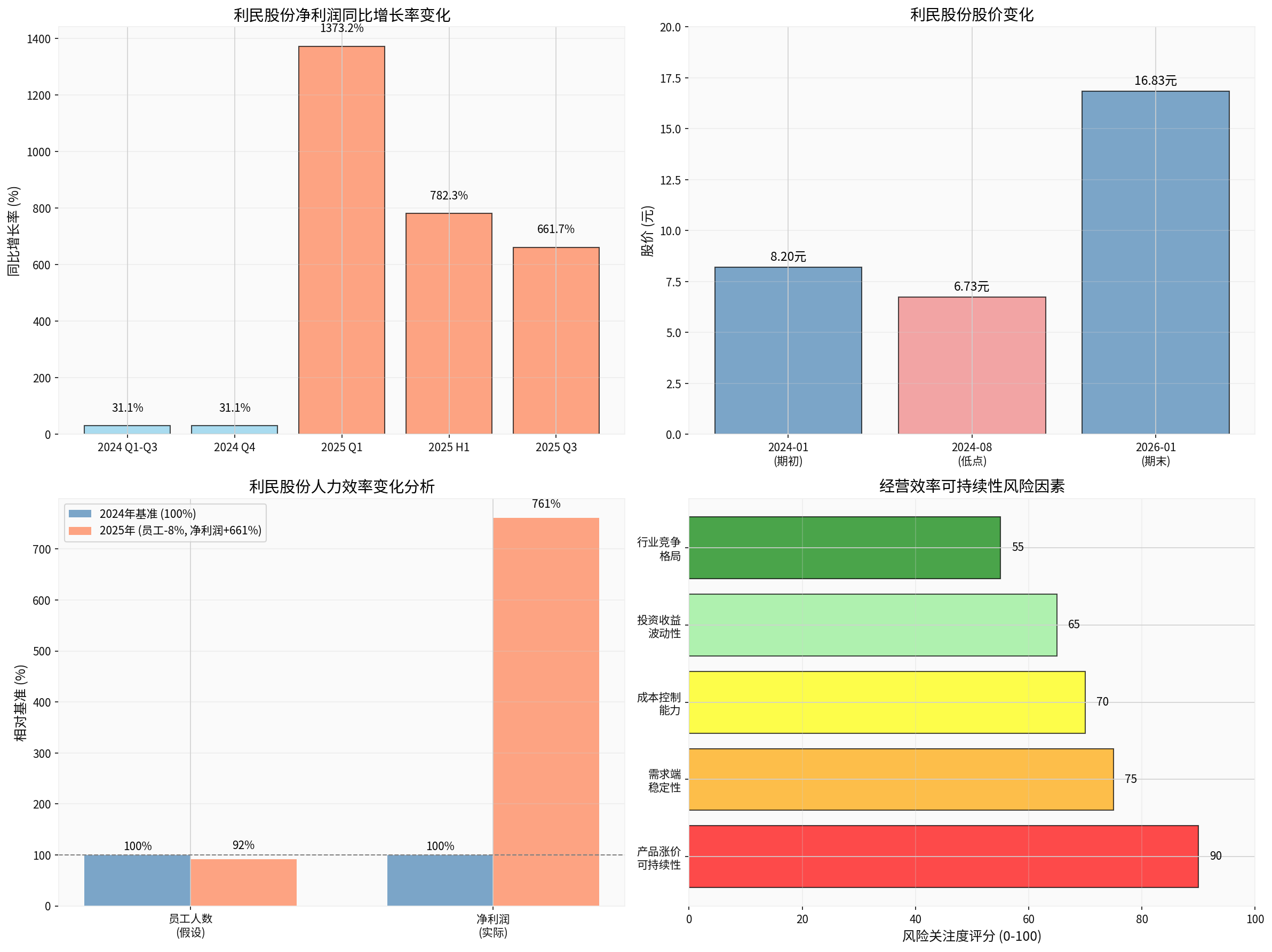
利民股份2025年前三季度实现归母净利润3.90亿元,同比大幅增长661.66%。值得注意的是,这一增长呈现明显的季度波动特征:
- 2025年第一季度:净利润同比增长1373%(因基数效应)
- 2025年上半年:净利润同比增长782%
- 2025年前三季度:净利润同比增长661%[1]
员工人数减少8%:
同期公司员工总数下降约8%,这一变化主要通过自然流失和岗位优化实现[1]。
二、增长驱动因素深度解析
1. 产品价格上涨是核心驱动力
根据行业数据,公司主要产品价格自2024年3月以来持续上涨[2]:
| 产品 | 价格变动 | 涨幅 |
|---|---|---|
| 甲维盐 | 50→71.5万元/吨 | +43% |
| 阿维菌素 | 35→51.5万元/吨 | +47% |
| 代森锰锌 | 2.35→2.5万元/吨 | +6.4% |
| 百菌清 | 1.8万元/吨起 | 上涨 |
2. 参股公司投资收益增加
公司参股公司的业绩上涨为上市公司贡献了可观的投资收益,成为净利润增长的另一重要来源[1]。
3. 成本端优化
员工人数减少8%带来了人工成本的直接下降,但这一因素对净利润增长的贡献相对有限。
三、经营效率分析
人均创利大幅提升:
假设员工效率均匀分布,裁员8%结合净利润增长661%,意味着人均创利增长约727%。
股价表现:
股价从2024年初的8.20元上涨至2026年初的16.83元,期间涨幅达105%,最高曾触及24.87元(2025年6月12日)。当前股价处于50日均线(17.00元)和20日均线(16.20元)附近震荡[0][3]。

四、可持续性风险评估
高风险因素:
-
产品涨价可持续性(风险评分:90/100)
- 农药价格受全球农化市场供需影响显著
- 本轮涨价主要源于全球农化去库周期尾声,而非需求端持续改善[2]
- 若下游库存回补完成,价格回调风险较大
-
投资收益波动性(风险评分:65/100)
- 参股公司业绩具有不确定性
- 投资收益波动可能影响未来利润稳定性
中等风险因素:
-
需求端稳定性(风险评分:75/100)
- 农业需求相对刚性,但存在周期性波动
- 极端天气、病虫害发生程度等不可控因素
-
成本控制持续性(风险评分:70/100)
- 人员优化空间已有限
- 原材料成本、能源成本仍有压力
-
行业竞争格局(风险评分:55/100)
- 农药行业竞争激烈,龙头集中度提升[2]

五、技术面分析
- 趋势判断:股价目前处于横盘整理阶段,无明确趋势信号[3]
- Beta系数:0.65(相对于深证成指),波动性相对较低
- 支撑位:16.20元(20日均线)
- 阻力位:17.06元(短期压力位)
- 年化波动率:当前约29.55%,较前期高点有所回落
六、综合评估与投资建议
短期(1-2个季度):
增长态势有望维持,但需警惕产品价格的季节性回调压力。公司当前PE(TTM)为17.62倍,估值处于历史中枢水平[0]。
中期(2-4个季度):
增长持续性取决于:①主要产品能否维持当前价格水平;②新增订单情况;③投资收益表现。国信证券预计公司2025-2027年归母净利润分别为4.02亿元、4.78亿元、5.22亿元[2]。
长期(1年以上):
当前的增长模式可持续性存疑。公司需要:①拓展新产品线;②提升市场份额;③加强成本控制能力,以维持盈利能力。
风险提示:
农药价格波动、行业政策变化、汇率波动、参股公司业绩波动
参考文献
[1] 搜狐证券 - 利民股份业绩预告及公司概况 (https://q.stock.sohu.com/cn/002734/yjyg.shtml)
[2] 国信证券 - 利民股份(002734.SZ)研究报告 (http://pdf.dfcfw.com/pdf/H3_AP202505261679298130_1.pdf)
[0] 金灵AI - 市场数据及技术分析
[3] 金灵AI - 股价K线图技术指标分析
相关阅读推荐
暂无推荐文章
基于这条新闻提问,进行深度分析...
数据基于历史,不代表未来趋势;仅供投资者参考,不构成投资建议
关于我们:Ginlix AI 是由真实数据驱动的 AI 投资助手,将先进的人工智能与专业金融数据库相结合,提供可验证的、基于事实的答案。请使用下方的聊天框提出任何金融问题。
相关个股
002734.SZ
--
002734.SZ
--
