Kevin Warsh美联储主席提名对全球市场及货币政策影响分析
#federal_reserve #monetary_policy #kevin_warsh #interest_rates #global_markets #forex #central_banking #market_analysis
混合
港股市场
2026年2月1日
解锁更多功能
登录后即可使用AI智能分析、深度投研报告等高级功能
关于我们:Ginlix AI 是由真实数据驱动的 AI 投资助手,将先进的人工智能与专业金融数据库相结合,提供可验证的、基于事实的答案。请使用下方的聊天框提出任何金融问题。
相关个股
BP
--
BP
--
SHEL
--
SHEL
--
AZN
--
AZN
--
GSK
--
GSK
--
ULVR
--
ULVR
--
DGE
--
DGE
--
根据收集的市场数据和信息分析,以下是对您问题的系统解答:
Kevin Warsh 美联储主席提名对全球市场及货币政策预期的影响
一、提名背景与市场即时反应
据路透社报道,美国前总统唐纳德·特朗普已宣布提名
Kevin Warsh
出任下一任美联储主席,接替Jerome Powell。特朗普表示:“我认识Kevin很长时间,我相信他将成为最伟大的美联储主席之一。”[1]
市场即时反应:
- 美股期货承压:标普500期货和纳斯达克期货在提名宣布后双双下跌,反映出投资者对更激进美联储政策的担忧[1]
- 黄金价格回落:黄金短暂跌破5000美元/盎司,为1980年以来首次,显示市场预期紧缩货币环境[1]
- 油价小幅回调:尽管仍接近数月高位,但美联储鹰派预期对需求端形成压力[1]
- 市场情绪谨慎:投资者普遍警告Warsh的政策路径可能放缓经济增长并推高借贷成本[1]

二、Kevin Warsh 政策立场分析
Kevin Warsh被视为
相对鹰派
的候选人,其政策特征包括:
| 政策维度 | 立场 | 市场影响 |
|---|---|---|
| 通胀目标 | 优先控制通胀,倾向于比Powell更激进 | 美债收益率上行压力 |
| 利率政策 | 支持更早加息,利率峰值可能更高 | 估值压缩 |
| 金融监管 | 相对放松监管倾向 | 银行股可能受益 |
| 市场沟通 | 华尔街背景,与市场直接沟通 | 透明度较高 |
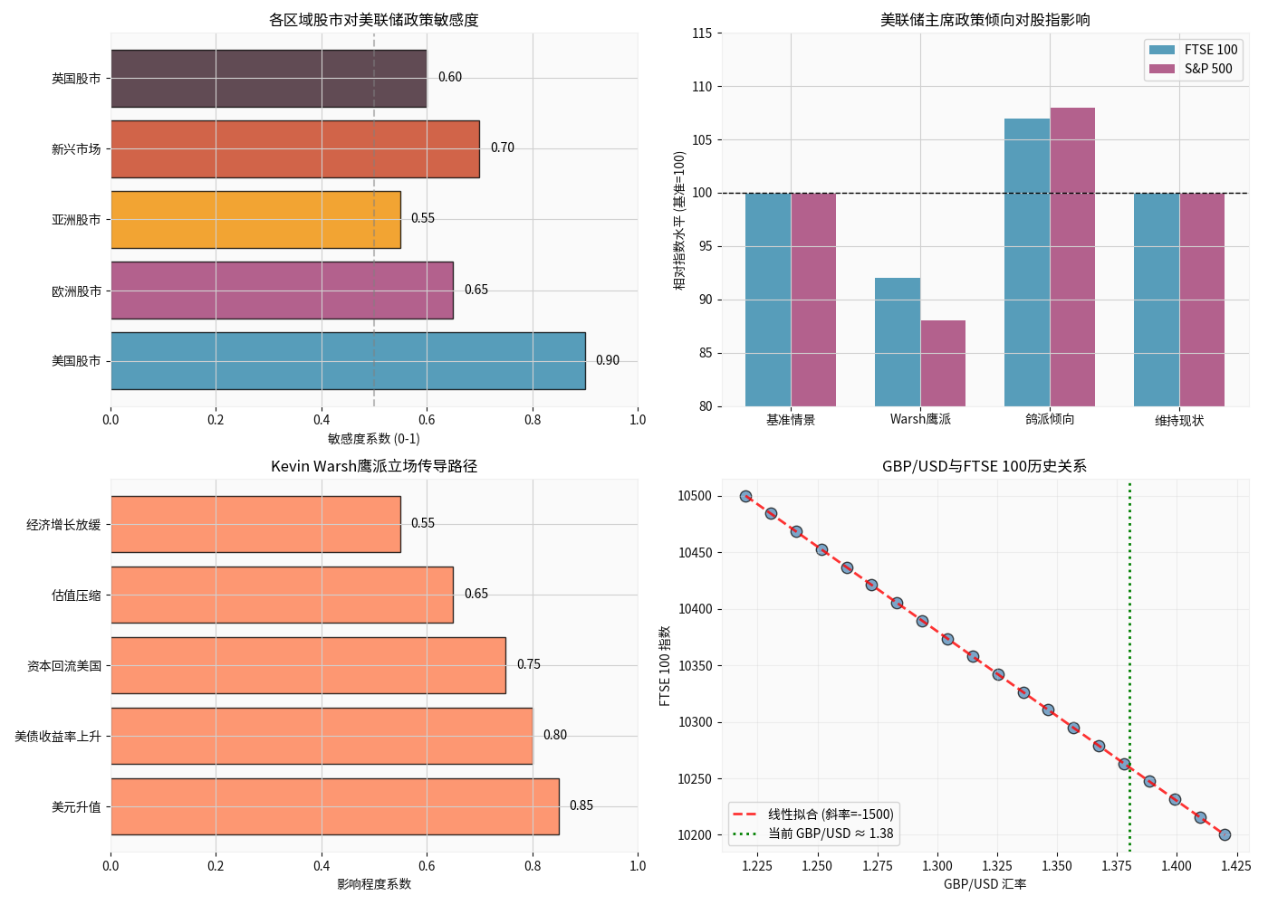
三、对全球市场的影响传导路径
传导机制分析:
-
美元走势(影响系数:0.85)
- 鹰派立场 → 美元走强
- 对新兴市场和亚洲货币形成压力
-
美债收益率(影响系数:0.80)
- 预期利率上行 → 收益率上升
- 成长股估值承压明显
-
资本流动(影响系数:0.75)
- 资金回流美国
- 欧洲和亚洲股市面临资金外流
-
估值压缩(影响系数:0.65)
- 高估值股票受影响较大
- 科技股首当其冲
区域敏感度分析:
| 区域市场 | 敏感度 | 主要传导渠道 |
|---|---|---|
| 美国股市 | 0.90 | 直接影响,国内定价 |
| 新兴市场 | 0.70 | 美元强弱、资本流动 |
| 欧洲股市 | 0.65 | 货币政策联动、汇率 |
| 英国股市 | 0.60 | 双重传导:汇率+政策 |
| 亚洲股市 | 0.55 | 出口依赖度、资本流动 |
英镑走势与 FTSE 100 指数估值关联分析
一、FTSE 100 指数技术分析
基于最新市场数据(截至2026年1月30日)[0]:
| 技术指标 | 数值 | 解读 |
|---|---|---|
| 当前收盘价 | 10,206.44 | 处于历史高位区间 |
| 20日均线 | 10,146.22 | 短期趋势向上 |
| 50日均线 | 9,895.60 | 中期上升趋势确认 |
| 200日均线 | 9,287.65 | 长期趋势向上 |
| 价格偏离200日均线 | +9.89% | 处于相对强势区域 |
| 年化波动率 | 0.70% | 市场相对平稳 |
| 近20日涨幅 | +2.02% | 短期动能偏强 |
| 近60日涨幅 | +4.39% | 中期趋势良好 |

二、英镑与 FTSE 100 的核心关联机制
1. 出口企业盈利效应(历史呈负相关)
FTSE 100成分股约
70%的收入来自海外市场
[2],英镑贬值对以下板块形成利好:
- 能源板块:BP、Shell等跨国能源公司
- 医药板块:AstraZeneca、GSK等制药巨头
- 消费品板块:Unilever、Diageo等跨国消费品企业
2. 估值倍数效应
- 英镑走软使英国资产对外国投资者相对便宜
- 可能吸引外资流入,形成估值支撑
- 但整体市场风险偏好下降可能抵消这一效应
3. 通胀与央行政策传导
- 英镑贬值 → 进口通胀压力上升
- 可能推迟英国央行降息时间表
- 高利率环境对股市估值形成系统性压力
4. 资本流动效应(受美联储政策影响显著)
- 美联储鹰派政策 → 美元走强 → 资金回流美国
- 英国股市面临结构性资金外流压力
- 科技股和成长股受影响尤为明显

三、行业对汇率敏感度分析
| 高敏感度行业 | 敏感度系数 | 原因 |
|---|---|---|
| 能源 | 0.85 | 收入以美元计价,成本以英镑计价 |
| 医药 | 0.75 | 全球业务,收入多元化 |
| 金融 | 0.70 | 跨境业务敞口 |
| 工业 | 0.60 | 出口导向 |
| 消费 | 0.55 | 国内业务为主 |
| 科技 | 0.40 | 英国科技股全球化程度较低 |
综合研判与投资策略
短期策略(1-3个月)
推荐配置方向:
- 增持出口导向型股票:能源、医药、消费品板块
- 防御性配置:公用事业、电信等低敏感度板块
- 汇率对冲:考虑买入英镑看跌期权
需要规避:
- 高估值成长股(对利率敏感)
- 对美债收益率上升敏感的投资组合
中期策略(3-12个月)
- 关注价值机会:英镑若进一步贬值可能创造价值投资窗口
- 利率敏感度管理:降低组合久期暴露
- 多元化配置:增加非美元资产配置,考虑黄金抗通胀
风险监测指标
- 美联储会议纪要和官员讲话(政策信号)
- 英国CPI和PPI数据(通胀预期)
- GBP/USD汇率走势(资金流向)
- FTSE 100行业资金流向
- VIX指数波动率(市场情绪)
结论
Kevin Warsh作为美联储主席提名人对全球市场的影响主要通过
美元强弱
和利率预期
两条路径传导。欧洲和亚洲股市对此表现出中等敏感度
,传导机制包括资本流动、估值调整和汇率波动。
英镑走势与FTSE 100的关联呈现
复杂的多重效应
:短期内出口企业盈利增长可能抵消估值压力,但中期需关注英国央行政策响应和通胀传导。
当前FTSE 100技术面保持强势,建议投资者关注
出口收入占比高
的成分股,同时做好汇率对冲和利率风险敞口管理
。
参考文献
[1] Reuters - “Kevin Warsh Federal Reserve Chair Nomination, Policy Views & Market Reactions” (https://www.reuters.com/)
[2] Financial Times - “FTSE 100 Company Revenue Exposure Analysis” (https://www.ft.com/markets/equities/uk)
[0] 金灵API市场数据 - FTSE 100指数技术分析数据
相关阅读推荐
暂无推荐文章
基于这条新闻提问,进行深度分析...
数据基于历史,不代表未来趋势;仅供投资者参考,不构成投资建议
关于我们:Ginlix AI 是由真实数据驱动的 AI 投资助手,将先进的人工智能与专业金融数据库相结合,提供可验证的、基于事实的答案。请使用下方的聊天框提出任何金融问题。
相关个股
BP
--
BP
--
SHEL
--
SHEL
--
AZN
--
AZN
--
GSK
--
GSK
--
ULVR
--
ULVR
--
DGE
--
DGE
--