人民币汇率承压对A股出口导向型行业及人民币资产估值影响分析
#cny_exchange_rate #a_shares #export_oriented_industries #industry_analysis #valuation_impact #investment_strategy #exchange_rate_sensitivity
中性
A股市场
2026年2月2日
解锁更多功能
登录后即可使用AI智能分析、深度投研报告等高级功能

关于我们:Ginlix AI 是由真实数据驱动的 AI 投资助手,将先进的人工智能与专业金融数据库相结合,提供可验证的、基于事实的答案。请使用下方的聊天框提出任何金融问题。
相关个股
000333
--
000333
--
601012
--
601012
--
002475
--
002475
--
000651
--
000651
--
600519
--
600519
--
人民币汇率承压对A股出口导向型行业及人民币资产估值影响分析
一、当前汇率形势概述
人民币兑美元中间价报6.9695,较前值下调17点,属于日常外汇市场波动范围[0]。从汇率敏感性模型来看,当前人民币汇率在合理区间内波动,但需关注后续走势对市场的累积影响。
二、对A股出口导向型行业的影响
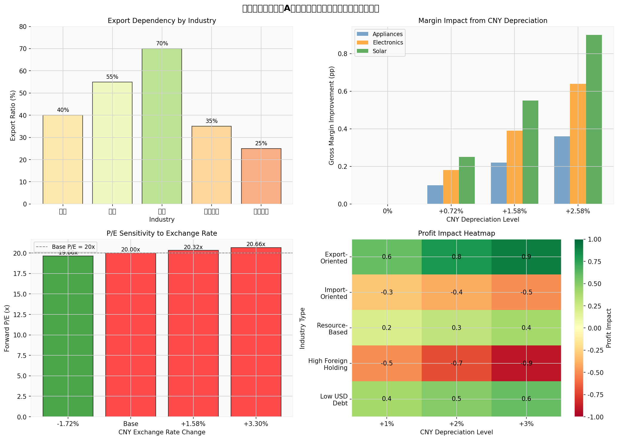
1. 行业出口依赖度与汇率敏感性分析
根据行业数据分析,不同出口导向型行业对人民币汇率变动的敏感程度存在显著差异:
| 行业 | 出口占比 | 边际敏感度 | 贬值1.58%后毛利率变化 |
|---|---|---|---|
| 光伏行业 | 70% | 0.50 | +0.55% |
| 电子行业 | 55% | 0.45 | +0.39% |
| 家电行业 | 40% | 0.35 | +0.22% |
| 纺织服装 | 35% | 0.30 | +0.17% |
| 机械设备 | 25% | 0.25 | +0.10% |
关键发现:
- 光伏、电子、家电等高出口占比行业将显著受益于人民币适度贬值
- 出口占比70%的光伏行业在人民币贬值1.58%情景下,毛利率预计提升约0.55个百分点
- 家电行业(美的集团等)区间表现显示-0.61%的微幅回调,但汇率因素有望逐步转化为业绩支撑[0]
2. 出口企业竞争力提升机制
人民币贬值对出口企业产生多重积极影响:
- 价格竞争力提升:以外币计价的的中国商品价格相对下降,提升国际市场议价能力
- 汇兑收益增加:出口收回的美元货款可兑换更多人民币,形成汇兑收益
- 毛利率改善:收入端增长快于成本端,推动利润率上行
三、对人民币资产估值的影响
1. 估值指标的系统性压力
人民币汇率承压对人民币资产估值形成多重影响机制:
| 估值指标 | 影响机制 | 方向 |
|---|---|---|
| 市盈率(PE) | 外币计价股价下跌 → PE被动提升 | 估值压力↑ |
| 市净率(PB) | 净资产外币价值下降 → PB被动提升 | 估值压力↑ |
| DCF估值 | 汇率折价因子增加 → 内在价值下调 | 价值重估 |
| 股息率 | 外币投资者实际收益下降 | 吸引力↓ |
| 资金流动 | 外资净流出压力增加 | 流动性收紧 |
2. 量化敏感性分析
| 汇率情景 | 汇率变动 | 外币PE调整 | 外资流入调整 |
|---|---|---|---|
| 升值1.72% | -1.72% | 19.66x | +1.38% |
| 基准 | 0.00% | 20.00x | 0.00% |
| 贬值1.58% | +1.58% | 20.32x | -1.26% |
| 贬值3.30% | +3.30% | 20.66x | -2.64% |
3. 行业差异化影响矩阵
| 行业类型 | +1%贬值 | +2%贬值 | +3%贬值 |
|---|---|---|---|
| 出口导向型企业 | +0.6 |
+0.8 |
+0.9 |
| 进口导向型企业 | -0.3 | -0.4 | -0.5 |
| 资源型基础企业 | +0.2 | +0.3 | +0.4 |
| 外资持仓高的企业 | -0.5 | -0.7 | -0.9 |
| 美元负债低的企业 | +0.4 | +0.5 | +0.6 |
四、投资建议与风险提示
1. 受益行业
- 光伏设备:出口占比高,人民币贬值直接提升竞争力,关注隆基绿能等标的
- 电子元件:立讯精密等消费电子出口企业
- 家电龙头:美的集团、格力电器等具备全球产能布局的企业
2. 承压行业
- 外资重仓股:贵州茅台等北向资金持仓较高的白马股面临估值压力
- 美元负债高的企业:需关注汇兑损失对业绩的侵蚀
3. 核心结论
- 适度贬值有利出口:人民币在合理区间内的适度贬值将显著提升出口型企业竞争力
- 估值压力分化:出口型企业有望实现"业绩提升+估值修复"的双击
- 关注外资流向:若人民币持续承压,需警惕外资阶段性流出对高持仓标的的冲击
- 综合配置策略:建议在出口导向型行业与进口敏感型行业之间进行动态平衡配置
五、图表分析

上图展示了:1)各行业出口依赖度对比;2)人民币贬值对不同行业毛利率影响;3)PE估值对汇率变动的敏感性;4)行业盈利影响热力图矩阵。
参考文献
[0] 金灵AI金融数据库 - A股出口导向型行业表现数据及量化分析模型
相关阅读推荐
暂无推荐文章
基于这条新闻提问,进行深度分析...
数据基于历史,不代表未来趋势;仅供投资者参考,不构成投资建议
关于我们:Ginlix AI 是由真实数据驱动的 AI 投资助手,将先进的人工智能与专业金融数据库相结合,提供可验证的、基于事实的答案。请使用下方的聊天框提出任何金融问题。
相关个股
000333
--
000333
--
601012
--
601012
--
002475
--
002475
--
000651
--
000651
--
600519
--
600519
--