绝味食品门店收缩影响评估报告
#store_contraction #market_analysis #valuation #earnings #food_industry #investment_strategy #risk_assessment
混合
A股市场
2026年2月3日
解锁更多功能
登录后即可使用AI智能分析、深度投研报告等高级功能

关于我们:Ginlix AI 是由真实数据驱动的 AI 投资助手,将先进的人工智能与专业金融数据库相结合,提供可验证的、基于事实的答案。请使用下方的聊天框提出任何金融问题。
相关个股
603517
--
603517
--
基于收集的数据和公开信息,我为您撰写一份
绝味食品门店收缩影响评估
的综合分析报告。
绝味食品(603517.SS)门店收缩影响评估报告
一、公司概况与行业背景
绝味食品股份有限公司是中国领先的卤制品连锁企业,以"绝味鸭脖"品牌闻名。公司采用"直营+加盟"的经营模式,门店网络覆盖全国。然而,近年来公司面临行业竞争加剧、消费环境变化等多重挑战,门店结构调整成为公司战略转型的重要环节。[0]

二、门店收缩的市场表现影响
2.1 股价长期走势分析
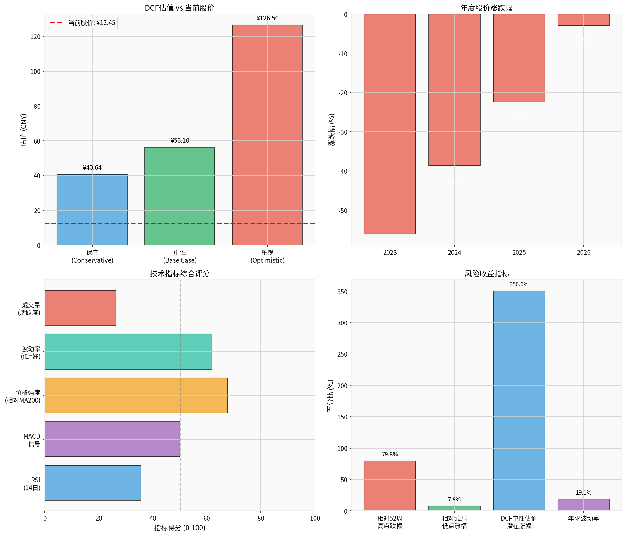
从股价表现来看,绝味食品经历了显著的回调:
| 时间区间 | 收盘价 | 涨跌幅 | 关键特征 |
|---|---|---|---|
| 2023年初 | 61.20 CNY | - | 历史高点区间 |
| 2023年末 | 26.86 CNY | -56.11% | 开始大幅回调 |
| 2024年末 | 16.44 CNY | -38.66% | 持续下行 |
| 2025年末 | 12.76 CNY | -22.38% | 跌势趋缓 |
| 2026年2月 | 12.45 CNY | -2.89% | 底部盘整 |
累计跌幅:2023年以来下跌78.90%
,股价从历史高点61.49 CNY回落至当前12.45 CNY。[0]
2.2 技术面分析
| 指标 | 数值 | 信号解读 |
|---|---|---|
| 当前价格 | 12.45 CNY | 接近52周低点 |
| MA20 | 13.05 CNY | 价格低于均线(-4.56%) |
| MA50 | 13.07 CNY | 价格低于均线(-4.75%) |
| MA200 | 14.84 CNY | 价格低于均线(-16.12%) |
| RSI(14) | 35.58 | 中性区间,接近超卖 |
| MACD | -0.1087 | 死叉,看跌信号 |
| Beta | 0.29 | 与大盘关联度较低 |
趋势判断:横向整理格局,无明确方向
,交易区间参考12.31-13.05 CNY。[0]

三、门店收缩的多维度影响评估
3.1 短期负面影响
- 营收规模收缩:门店数量减少直接导致销售终端减少,收入规模下降
- 加盟费用收入减少:关店意味着失去加盟费和特许经营收入
- 市场份额流失:门店网络收缩给竞争对手(周黑鸭、煌上煌、紫燕等)可乘之机
- 品牌影响力稀释:门店密度降低影响品牌曝光度和消费者触达
3.2 潜在积极因素
- 运营效率提升:保留优质门店,优化单店盈利能力
- 成本结构优化:减少租金、人工、库存等运营成本
- 品牌形象维护:关闭低效、亏损门店,避免负面口碑扩散
- 战略聚焦:资源集中于核心市场和优势区域
3.3 财务指标反映
| 财务指标 | 数值 | 评估 |
|---|---|---|
| 市盈率(TTM) | 109.45x | 较高,反映市场对盈利能力的担忧 |
| 市净率 | 1.18x | 相对合理 |
| ROE | 1.09% | 较低,盈利能力承压 |
| 净利润率 | 1.25% | 较低,利润率承压 |
| 流动比率 | 1.29 | 短期偿债能力尚可 |
| 债务风险 | 低 | 财务风险可控 |
四、估值分析
DCF估值模型显示公司内在价值显著高于当前股价:
| 估值情景 | 内在价值 | 相对当前涨幅 |
|---|---|---|
| 保守情景 | 40.64 CNY | +226.4% |
| 中性情景 | 56.10 CNY | +350.6% |
| 乐观情景 | 126.50 CNY | +916.1% |
| 概率加权 | 74.41 CNY | +497.7% |
WACC假设
:6.3%(Beta 0.29,无风险利率4.5%,市场风险溢价7.0%)[0]
五、行业竞争格局
中国卤制品行业竞争激烈,主要参与者包括:
- 绝味食品:门店数量领先,但面临调整压力
- 周黑鸭:直营为主,高端化定位
- 煌上煌:区域龙头,稳步扩张
- 紫燕食品:新兴势力,快速增长
行业整体增速放缓,竞争从规模扩张转向质量提升和效率优化。
六、风险因素
- 消费需求疲软:卤制品消费受宏观经济和消费信心影响
- 行业竞争加剧:新进入者和价格战压缩利润空间
- 原材料成本波动:鸭肉等原材料价格影响毛利率
- 食品安全风险:食品安全事件可能对公司造成重大冲击
- 门店调整阵痛:关店过程中可能产生一次性费用和损失
七、投资建议与结论
7.1 核心结论
门店收缩是公司主动进行的战略调整
,短期内对营收和利润形成压力,但长期来看有助于:
- 优化门店网络质量
- 提升单店经营效率
- 改善整体盈利能力
- 为未来增长奠定基础
7.2 当前市场定价
当前股价12.45 CNY已较历史高点下跌约80%,
估值具有较高安全边际
。DCF中性估值56.10 CNY意味着约350%的上行空间。
7.3 关注要点
- 同店销售增长:门店调整后单店产出是否改善
- 毛利率变化:产品结构升级是否提升盈利能力
- 现金流状况:经营现金流能否覆盖门店调整成本
- 战略执行:公司能否成功转型为"高质量"发展模式
7.4 风险提示
- 股价处于下降趋势,技术面偏弱
- RSI显示中性,MACD死叉,短期可能继续筑底
- 近90天交易区间12.29-15.78 CNY,波动收窄
参考文献
[0] 金灵AI金融数据库 - 绝味食品(603517.SS)市场数据、技术分析与DCF估值(数据截至2026年2月2日)
相关阅读推荐
暂无推荐文章
基于这条新闻提问,进行深度分析...
数据基于历史,不代表未来趋势;仅供投资者参考,不构成投资建议
关于我们:Ginlix AI 是由真实数据驱动的 AI 投资助手,将先进的人工智能与专业金融数据库相结合,提供可验证的、基于事实的答案。请使用下方的聊天框提出任何金融问题。
相关个股
603517
--
603517
--