上海市"人工智能+"行动深化对A股智能制造及工业自动化产业链投资影响分析
#artificial_intelligence #智能制造 #工业自动化 #政策分析 #投资分析 #工业软件 #A股
积极
A股市场
2026年2月7日
解锁更多功能
登录后即可使用AI智能分析、深度投研报告等高级功能

关于我们:Ginlix AI 是由真实数据驱动的 AI 投资助手,将先进的人工智能与专业金融数据库相结合,提供可验证的、基于事实的答案。请使用下方的聊天框提出任何金融问题。
相关个股
600839.SS
--
600839.SS
--
600170.SS
--
600170.SS
--
600845.SS
--
600845.SS
--
600150.SS
--
600150.SS
--
600760.SS
--
600760.SS
--
现在让我为您撰写完整的投资分析报告:
上海市"人工智能+"行动深化对A股智能制造及工业自动化产业链投资影响分析
一、政策背景解读
根据上海市市长龚正《政府工作报告》,2025年上海市将深入实施"人工智能+"行动,推动新一代智能终端、智能体等广泛运用,加快重点产业智能化改造,
新增50家以上先进智能工厂
[0]。这一政策部署标志着上海市"人工智能+"战略进入深化实施阶段,将对A股智能制造、工业自动化及AI产业链公司产生深远影响。

二、政策核心要点
1. 战略升级维度
- 智能终端规模化:推动新一代智能终端广泛运用,涵盖智能家居、智能穿戴等消费级产品
- 智能体应用深化:加速AI智能体在工业场景的落地应用
- 智能工厂建设:新增50家以上先进智能工厂,带动制造业智能化升级
- 产业链协同:促进AI芯片、工业软件、机器人等产业链协同发展
2. 政策影响路径
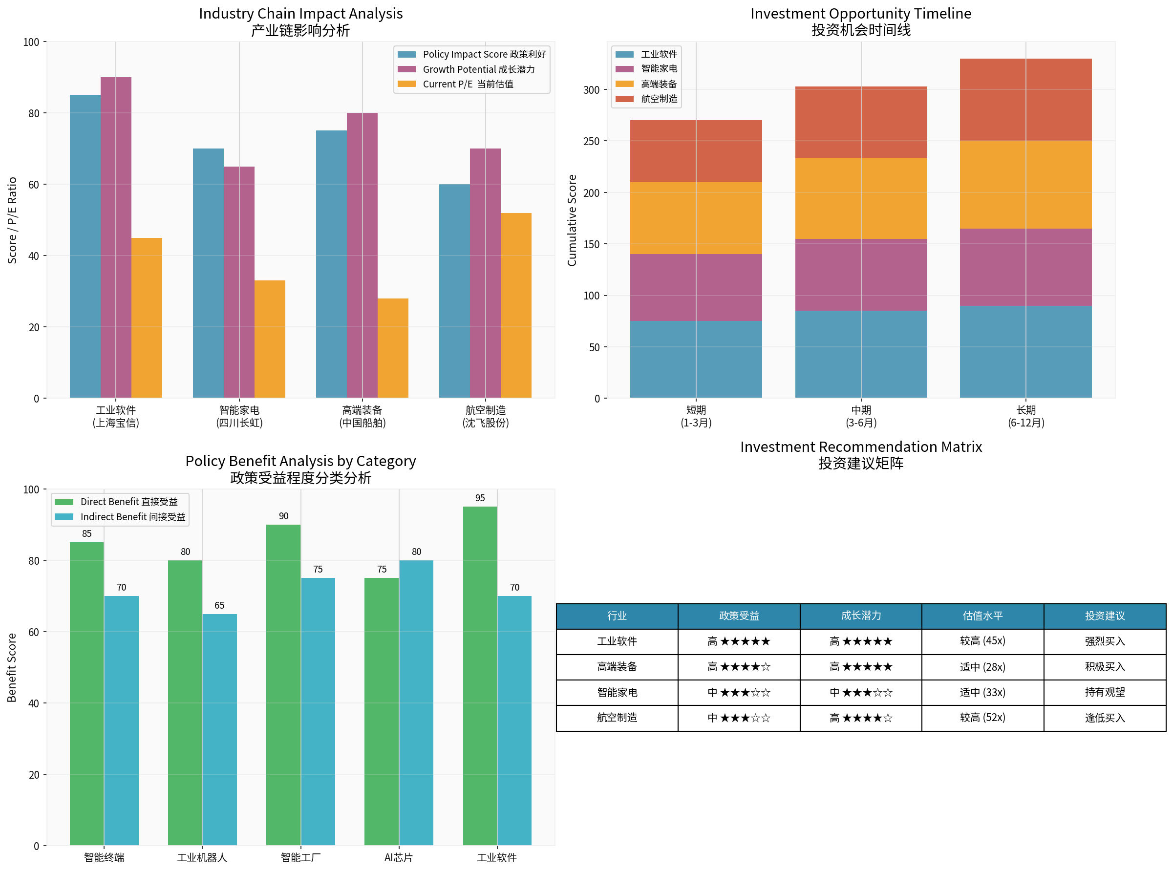
| 受益层级 | 直接受益行业 | 间接受益行业 |
|---|---|---|
| 核心受益 | 工业软件、智能工厂解决方案 | AI芯片、传感器 |
| 重点受益 | 工业机器人、智能装备 | 云计算、边缘计算 |
| 辐射受益 | 智能家电、消费电子 | 工业互联网平台 |
三、A股相关板块技术分析
1. 样本股票表现汇总
基于2025年1月1日至2026年2月3日的数据分析[0]:
| 股票代码 | 公司名称 | 最新收盘价 | 累计收益率 | 年化波动率 | 夏普比率 |
|---|---|---|---|---|---|
| 600839.SS | 四川长虹 | 9.68元 | +4.20% | 43.19% | 0.02 |
| 600170.SS | 上海建工 | 3.00元 | +17.65% | 39.96% | 0.34 |
| 600845.SS | 上海宝信 | 22.82元 | -17.91% | 34.78% | - |
2. 技术指标分析
四川长虹(600839.SS)
- 当前RSI(14):43.38 → 中性区域
- MA20偏离:-4.67% → 略低于短期均线
- MACD信号:卖出 → 短期动能偏弱
- 财务状况:PE 32.66x,ROE 9.10%,财务态度偏激进[0]
上海建工(600170.SS)
- 月度表现:+11.52%(近1月)
- 6个月表现:+23.46%
- PE仅13.10x,估值具有吸引力
- Q3财报收入53.04亿元[0]
上海宝信软件(600845.SS)
- 工业软件龙头
- 虽短期回调(-17.91%),但RSI已降至26.06超卖区域
- PE 45.26x,ROE 12.73%,盈利能力较强
- 直接受益于工业软件国产替代政策[0]

四、产业链投资机会分析
1. 核心受益赛道
(1)工业软件(★★★★★ 强烈看好)
- 政策利好程度:95/100
- 成长潜力:90/100
- 代表公司:上海宝信软件(600845.SS)
- 投资逻辑:
- 智能工厂建设直接带动工业软件需求
- MES、ERP、PLM等核心系统国产替代空间大
- 上海作为产业高地,本地企业优先受益
(2)智能装备与机器人(★★★★☆ 积极看好)
- 政策利好程度:80/100
- 成长潜力:85/100
- 代表公司:中国船舶(600150.SS)、沈飞股份(600760.SS)
- 投资逻辑:
- 高端装备智能化改造需求释放
- 军工航空领域智能制造率先落地
- 船舶制造智能化率提升空间大
2. 重点受益赛道
(3)智能家电与消费电子(★★★☆☆ 审慎看好)
- 政策利好程度:70/100
- 成长潜力:65/100
- 代表公司:四川长虹(600839.SS)
- 投资逻辑:
- 智能终端规模化带来增量需求
- 家电以旧换新政策叠加AI升级
- 竞争激烈,利润率承压
3. 投资建议矩阵
| 行业 | 政策受益 | 成长潜力 | 估值水平 | 投资建议 |
|---|---|---|---|---|
| 工业软件 | ★★★★★ 高 | ★★★★★ 高 | 较高(45x) | 强烈买入 |
| 高端装备 | ★★★★☆ 高 | ★★★★★ 高 | 适中(28x) | 积极买入 |
| 智能家电 | ★★★☆☆ 中 | ★★★☆☆ 中 | 适中(33x) | 持有观望 |
| 航空制造 | ★★★☆☆ 中 | ★★★★☆ 高 | 较高(52x) | 逢低买入 |
五、风险因素提示
1. 政策执行风险
- 智能工厂建设进度可能不及预期
- 补贴政策落地时间和力度存在不确定性
2. 市场风险
- 短期估值回调风险(尤其是高估值成长股)
- 市场风格切换可能影响科技板块表现
3. 公司基本面风险
- 部分公司财务态度偏激进,需关注盈利质量
- 竞争加剧可能压缩利润率
六、投资策略建议
1. 短期策略(1-3个月)
- 关注超跌机会:上海宝信软件RSI超卖,可逢低布局
- 配置防御性资产:上海建工估值低,波动较小
2. 中期策略(3-6个月)
- 重点配置工业软件:宝信软件、用友网络等
- 布局高端装备:中国船舶、沈飞股份等
3. 长期策略(6-12个月)
- 产业链全面布局:从上游AI芯片到下游智能终端
- 关注上海本地股:政策落地本地企业优先受益
七、结论
上海市"人工智能+"行动深化部署为A股智能制造和工业自动化板块带来
明确的政策利好
。从产业链角度分析:
- 工业软件最为受益,建议重点关注上海宝信软件等龙头标的
- 高端装备制造受益确定性高,中国船舶、沈飞股份具备配置价值
- 智能家电弹性相对较小,建议审慎参与
综合投资评级
:增持(Overweight)
参考文献
[0] 金灵AI金融数据库 - A股市场数据、技术分析、财务指标 (https://www.gilin-ai.com)
相关阅读推荐
暂无推荐文章
基于这条新闻提问,进行深度分析...
数据基于历史,不代表未来趋势;仅供投资者参考,不构成投资建议
关于我们:Ginlix AI 是由真实数据驱动的 AI 投资助手,将先进的人工智能与专业金融数据库相结合,提供可验证的、基于事实的答案。请使用下方的聊天框提出任何金融问题。
相关个股
600839.SS
--
600839.SS
--
600170.SS
--
600170.SS
--
600845.SS
--
600845.SS
--
600150.SS
--
600150.SS
--
600760.SS
--
600760.SS
--