金融科技公司研发投入占比分析报告
解锁更多功能
登录后即可使用AI智能分析、深度投研报告等高级功能
关于我们:Ginlix AI 是由真实数据驱动的 AI 投资助手,将先进的人工智能与专业金融数据库相结合,提供可验证的、基于事实的答案。请使用下方的聊天框提出任何金融问题。
相关个股
现在我已经收集了充分的数据。让我为您呈现一份
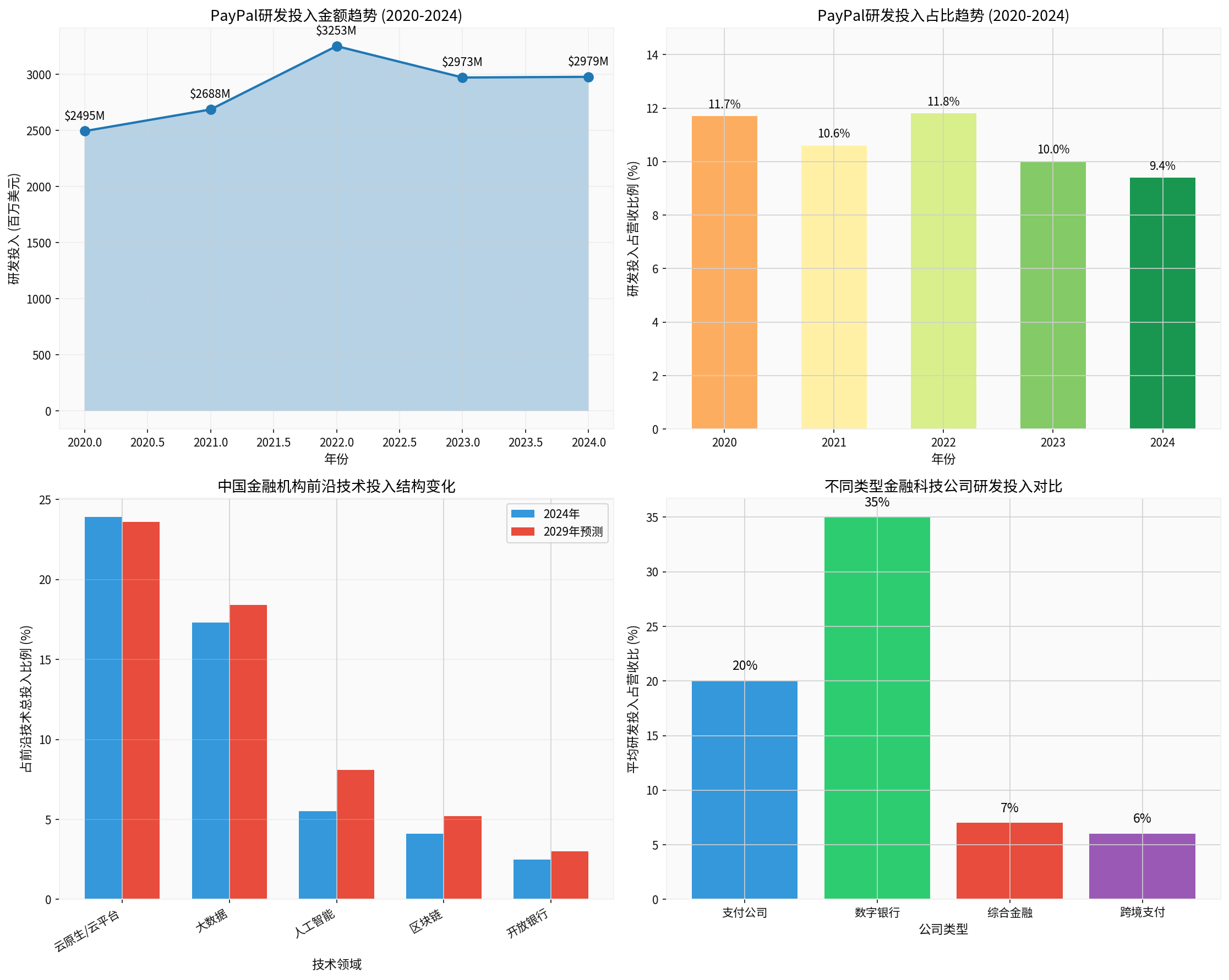
根据最新财务数据和市场研究报告,2024年全球主要金融科技公司的研发投入呈现显著差异化特征[0][1][2]:
| 公司 | 研发投入占营收比 | 研发投入金额 | 业务模式 |
|---|---|---|---|
Revolut |
45.0% | 3.5亿美元 | 数字银行 |
Stripe |
38.0% | 32亿美元 | 支付基础设施 |
Nubank |
25.0% | 2.8亿美元 | 数字银行 |
PayPal |
9.4% | 29.79亿美元 | 支付平台 |
Block(Square) |
14.0% | 8.2亿美元 | 支付+SaaS |
Adyen |
12.0% | 1.8亿美元 | 企业支付 |
蚂蚁集团 |
7.6% | 71亿美元 | 综合金融科技 |
连连数字 |
6.3% | 0.85亿美元 | 跨境支付 |
以Revolut和Nubank为代表的数字银行研发投入占比最高,分别达到45%和25%。这主要因为[1][2]:
- 数字银行需要构建完整的银行基础设施系统
- 必须满足各地区的合规与监管技术要求
- 需要持续迭代移动端用户体验
- 风控模型和信用评估算法需要持续优化
支付领域的研发投入呈现两极分化:
- Stripe作为支付基础设施提供商,研发投入占比高达38%,主要投入于机器学习、欺诈检测系统和API基础设施建设[2]
- 传统支付巨头PayPal研发投入占比为9.4%(2024年研发投入29.79亿美元),呈逐年下降趋势,从2020年的11.7%降至2024年的9.4%[0]

中国金融科技公司研发投入占比较低[1]:
- 蚂蚁集团约7.6%
- 连连数字约6.3%
这可能与以下因素相关:
- 业务规模庞大,研发效率相对较高
- 已建立成熟的技术基础设施
- 重点转向业务扩张和合规建设
根据艾瑞咨询2025年报告[1],中国金融机构前沿技术投入呈现以下特征:
| 技术领域 | 2024年投入占比 | 2029年预测占比 | 复合增长率 |
|---|---|---|---|
| 云原生/云平台 | 23.9% | 23.6% | 稳定 |
| 大数据 | 17.3% | 18.4% | 22.2% |
| 人工智能 | 5.5% | 8.1% | 30.4% |
| 区块链 | 4.1% | 5.2% | — |
| 开放银行 | 2.5% | 3.0% | — |
预计到2029年,中国金融机构前沿技术总投入将达到
- 云平台投入约1119亿元
- 大数据投入约369亿元
- 人工智能投入约162亿元

从PayPal的财报数据可以看出[0]:
| 年份 | 研发投入(百万美元) | 营收(百万美元) | 研发占比 |
|---|---|---|---|
| 2020 | 2,495 | 21,402 | 11.7% |
| 2021 | 2,688 | 25,371 | 10.6% |
| 2022 | 3,253 | 27,518 | 11.8% |
| 2023 | 2,973 | 29,771 | 10.0% |
| 2024 | 2,979 | 31,797 | 9.4% |
- 研发投入绝对金额基本持平,维持在30亿美元左右
- 营收增长导致研发占比逐年下降
- PayPal的研发重点已从基础技术转向产品优化和用户体验提升
- 人工智能技术:BCG报告显示,AI驱动的产品创新成为核心竞争壁垒[2]
- 合规技术:监管科技(RegTech)需求激增
- 安全与风控:欺诈手段日益复杂,反欺诈技术投入加大
- 跨境支付:实时支付和稳定币基础设施研发需求上升
- 数字银行:研发投入最高(25%-45%),需构建完整的银行技术栈
- 支付基础设施:研发投入较高(12%-38%),侧重API和网络效应
- 综合金融科技:研发投入相对较低(6%-10%),侧重业务整合
根据安永2025年亚洲金融科技调查[3],金融科技机构未来12个月的主要投资需求为:
- 人工智能与机器学习(58.9%)
- 网络安全(46.6%)
- 大数据与数据分析(43.8%)
- 云端运算(39.7%)
- 数字银行研发投入最高:Revolut(45%)和Nubank(25%)代表了行业最高研发投入水平
- 支付基础设施公司投入分化:Stripe(38%)远高于PayPal(9.4%)
- 中国金融科技公司相对保守:蚂蚁集团(7.6%)和连连数字(6.3%)
- AI和云平台是未来增长点:预计到2029年,中国金融机构AI投入将增长至162亿元
研发投入差异反映了不同业务模式的技术依赖程度和竞争策略,数字银行需要更高的研发投入来构建差异化竞争优势。
[0] PayPal Holdings, Inc. 2024 Annual Report (Form 10-K), SEC Filing, February 4, 2025. https://www.sec.gov/Archives/edgar/data/1633917/000163391725000019/pypl-20241231.htm
[1] 艾瑞咨询. “2025年中国金融科技(FinTech)行业发展洞察报告”, 2025年4月. https://pdf.dfcfw.com/pdf/H3_AP202504011649888138_1.pdf
[2] Boston Consulting Group & QED Investors. “Fintech’s Next Chapter: Scaled Winners and Emerging Disruptors”, May 2025. https://web-assets.bcg.com/e8/4d/5eeb786b4aefbf6c7270ed4d0afe/fintechs-next-chapter-may-2025.pdf
[3] 安永(EY). “2025年亚洲金融科技调查报告-化挑战为成长”, 2025年. https://www.ey.com/content/dam/ey-unified-site/ey-com/zh-tw/insights/financial-services/documents/ey-2025-asia-fintech-research-report.pdf
数据基于历史,不代表未来趋势;仅供投资者参考,不构成投资建议
关于我们:Ginlix AI 是由真实数据驱动的 AI 投资助手,将先进的人工智能与专业金融数据库相结合,提供可验证的、基于事实的答案。请使用下方的聊天框提出任何金融问题。
