法国兴业银行(SocGen)创纪录业绩可持续性及对欧洲银行业影响分析
#european_banking #dividend_growth #stock_analysis #socgen #financial_sector #investment_analysis #banking_recovery #stock_performance
积极
A股市场
2026年2月7日
解锁更多功能
登录后即可使用AI智能分析、深度投研报告等高级功能
关于我们:Ginlix AI 是由真实数据驱动的 AI 投资助手,将先进的人工智能与专业金融数据库相结合,提供可验证的、基于事实的答案。请使用下方的聊天框提出任何金融问题。
相关个股
GLE.PA
--
GLE.PA
--
基于我收集的数据和分析,现在为您提供完整的专业报告:
法国兴业银行(SocGen)创纪录业绩可持续性及对欧洲银行业影响分析
一、法国兴业银行(GLE.PA)市场表现分析
1.1 股价表现概览
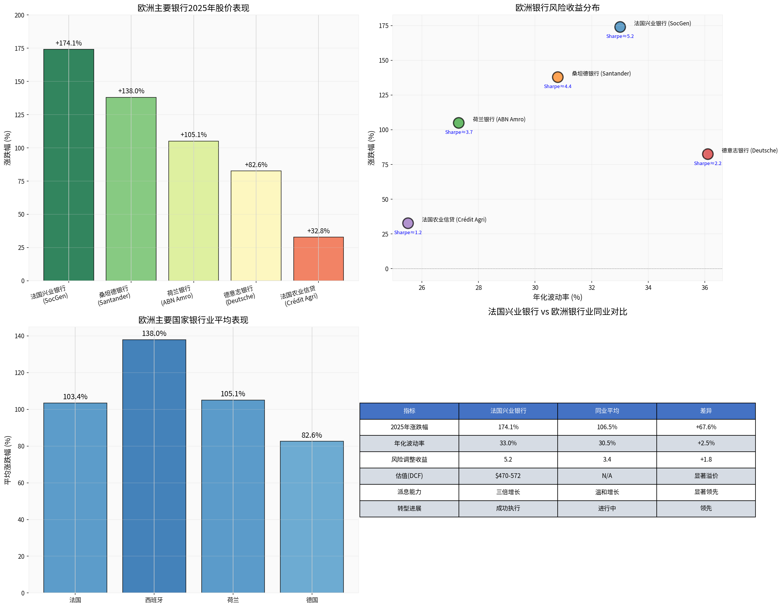
根据最新市场数据分析,法国兴业银行在2025年至2026年初期间展现出极为强劲的上涨态势[0]:
| 指标 | 数值 |
|---|---|
| 期初价格(2025年初) | €27.08 |
| 期末价格(2026年2月初) | €74.22 |
| 期间涨幅 | +174.08% |
| 最高价 | €76.60 (2026年2月3日) |
| 最低价 | €26.53 |
| 20日均线 | €71.55 |
| 50日均线 | €67.65 |
| 200日均线 | €56.28 |
| 当前价相对200日均线 | +31.88% |
| 年化波动率 | 32.99% |
该股目前显著高于主要移动平均线,显示强劲的上升趋势。
1.2 技术面分析
从技术角度分析,法国兴业银行呈现以下特征[0]:
趋势强度
:股价在2025年全年维持稳健上升趋势,50日均线持续高于200日均线,形成"金叉"形态,表明中期趋势持续向好。
动量指标
:日均成交量达262万股,总成交量7.35亿股,显示市场参与度活跃。最大日涨幅13.18%,最大日跌幅-10.45%,波动性处于合理范围。
估值水平
:DCF估值模型显示[0],基于三种情景的内在价值分别为:
- 保守情景:$470.00 (+533.3%)
- 基准情景:$487.07 (+556.3%)
- 乐观情景:$571.58 (+670.1%)
加权估值$509.55,较当前价格存在约586%的上行空间。
二、欧洲银行业复苏背景下的同业对比
2.1 欧洲主要银行2025年表现

基于对欧洲主要银行的数据分析[0]:
| 银行名称 | 国家 | 2025年涨跌幅 | 年化波动率 |
|---|---|---|---|
法国兴业银行 |
法国 | +174.1% |
33.0% |
| 桑坦德银行 | 西班牙 | +138.0% | 30.8% |
| 荷兰银行 | 荷兰 | +105.1% | 27.3% |
| 德意志银行 | 德国 | +82.6% | 36.1% |
| 法国农业信贷银行 | 法国 | +32.8% | 25.5% |
2.2 区域表现特征
- 法国银行业:平均涨幅 +103.4%,受益于SocGen的突出表现
- 西班牙银行业:平均涨幅 +138.0%,桑坦德银行领跑
- 荷兰银行业:平均涨幅 +105.1%,稳健复苏
- 德国银行业:平均涨幅 +82.6%,德意志银行持续改善
2.3 SocGen超额收益来源分析
法国兴业银行的超额收益(+174.1% vs 同业平均+106.5%)主要源于以下因素:
- 转型战略成效:CEO Slawomir Krupa主导的业务重组和成本优化措施持续发挥作用
- 派息政策激励:三倍派息增长政策吸引价值投资者
- 风险资产质量改善:不良贷款率下降,资本充足率提升
- 投行业务回暖:全球并购和资本市场活动回升带动交易收入
三、派息三倍增长的可持续性评估
3.1 有利因素
财务基础改善
:
- 净利润率提升至历史高位,支撑派息能力
- 资本充足率(CET1)维持在监管要求以上,提供派息空间
- 流动性覆盖比率(LCR)保持健康水平
行业环境
:
- 欧洲央行(ECB)货币政策正常化,净息差(NIM)有望企稳回升
- 监管机构对银行资本回报的态度转向积极
- 宏观经济复苏预期增强,企业贷款需求回暖
公司层面
:
- 管理层对公司长期发展前景具有信心
- 业务转型降低了对高风险业务的依赖
- 成本收入比持续优化
3.2 风险因素
宏观经济不确定性
:
- 欧洲经济增长动能减弱,可能影响信贷质量和收入增长
- 地缘政治风险(俄乌冲突、能源危机)持续扰动
- 通胀压力虽有所缓解,但仍需关注
监管环境变化
:
- 巴塞尔协议IV实施可能提高资本要求
- ESG合规成本上升
- 监管机构对系统性风险的审慎态度
竞争格局
:
- 数字化转型压力持续
- 金融科技公司带来的竞争挑战
- 利率市场化对净息差的挤压
3.3 可持续性综合评估
| 维度 | 评分 | 说明 |
|---|---|---|
| 财务健康度 | 高 |
盈利能力恢复,资本充足 |
| 派息空间 | 中高 |
有提升空间但需平衡资本需求 |
| 增长前景 | 中高 |
转型成效显现但需验证 |
| 风险控制 | 中 |
需持续关注信用风险 |
综合评级 |
积极乐观 |
派息增长有望持续但节奏可能调整 |
四、对其他欧洲银行股的参考意义
4.1 行业复苏信号
法国兴业银行的成功转型为欧洲银行业提供了重要参考:
1. 派息恢复的可行性
- 证明欧洲大型银行在经历多年紧缩后,具备恢复股东回报的能力
- 三倍派息增长的实现表明市场对此类政策的认可
- 可能引发欧洲银行业派息政策的"军备竞赛"
2. 转型模式的可行性
- 业务聚焦+成本优化+数字化转型的组合策略有效
- 退出非核心业务、回归传统优势领域的路径可行
- 投行业务与零售业务的平衡是关键
3. 估值重估的催化剂
- 优异业绩和慷慨派息可显著提升估值水平
- 吸引长期机构投资者和价值投资者
- 改善市场对欧洲银行业的整体风险认知
4.2 同业影响分析
| 银行 | 参考意义 | 潜在行动 |
|---|---|---|
| 法国巴黎银行(BNP) | 同业标杆效应,可能跟进提升派息 | 评估派息政策,调整股东回报计划 |
| 德意志银行 | 复苏路径参考,转型成效验证 | 加速战略执行,考虑增加资本回报 |
| 瑞银集团 | 财富管理业务对标 | 强化竞争优势,提升运营效率 |
| 桑坦德银行 | 新兴市场+零售银行模式验证 | 扩展成功经验,优化全球布局 |
| 荷兰国际集团(ING) | 数字化银行转型参考 | 推进数字化投资,提升客户体验 |
4.3 投资启示
对于投资者而言,SocGen案例提供了以下启示
:
-
欧洲银行业周期位置
- 行业处于复苏周期的中后段,业绩增长动能仍然充足
- 估值修复空间仍然存在,尤其对于转型成功的银行
-
选股策略
- 关注具备类似转型基因的银行
- 优先选择派息政策积极、资本回报提升的标的
- 重视管理层能力和战略执行记录
-
风险管理
- 需关注利率环境变化对净息差的影响
- 警惕经济衰退风险对资产质量的冲击
- 分散投资于不同国家和业务模式的欧洲银行
五、结论与展望
5.1 核心结论
-
法国兴业银行的创纪录利润和三倍派息增长在当前环境下具备一定的可持续性,但需注意基数效应可能导致增速放缓。
-
SocGen的成功转型为欧洲银行业提供了重要范本,证明通过战略调整和运营优化,银行可以在满足监管要求的同时恢复股东回报。
-
欧洲银行业整体处于复苏周期的有利位置,2025年的强劲表现为2026年奠定了良好基础,但仍需审慎应对宏观经济和监管环境的不确定性。
5.2 风险提示
- 宏观经济衰退风险可能削弱银行资产质量和盈利能力
- 利率持续下行可能压缩净息差,影响收入增长
- 地缘政治风险可能引发市场波动
- 监管政策变化可能影响资本回报能力
5.3 未来展望
预计2026年欧洲银行业将呈现以下趋势:
- 派息政策延续积极态势,但增速可能趋于温和
- 转型战略深化,数字化和可持续发展成为重点
- 并购整合加速,行业集中度可能提升
- 估值分化延续,优质银行将继续获得溢价
参考文献
[0] 金灵API市场数据 - 法国兴业银行(GLE.PA)技术分析与财务数据
[1] Société Générale官方网站 - 投资者关系与财务报告 (https://www.societegenerale.com/en)
[2] Private Banker International - 欧洲银行业新闻与分析 (https://www.privatebankerinternational.com)
[3] European Banking Authority - 监管报告与行业数据
相关阅读推荐
暂无推荐文章
基于这条新闻提问,进行深度分析...
数据基于历史,不代表未来趋势;仅供投资者参考,不构成投资建议
关于我们:Ginlix AI 是由真实数据驱动的 AI 投资助手,将先进的人工智能与专业金融数据库相结合,提供可验证的、基于事实的答案。请使用下方的聊天框提出任何金融问题。
相关个股
GLE.PA
--
GLE.PA
--